Home
About
Collections
Reviews
Contact Us
LOGIN
|
REGISTER
Keyword
Location
Select
New York
New Jersey
Delaware
Maryland
West Virginia
Ohio
Pennsylvania
Alabama
California
Colarado
Florida
Kansas
Lowa
Missouri
From Date
To Date
Keyword: empire chess
×
Showing 1 to 1 of 1 entries
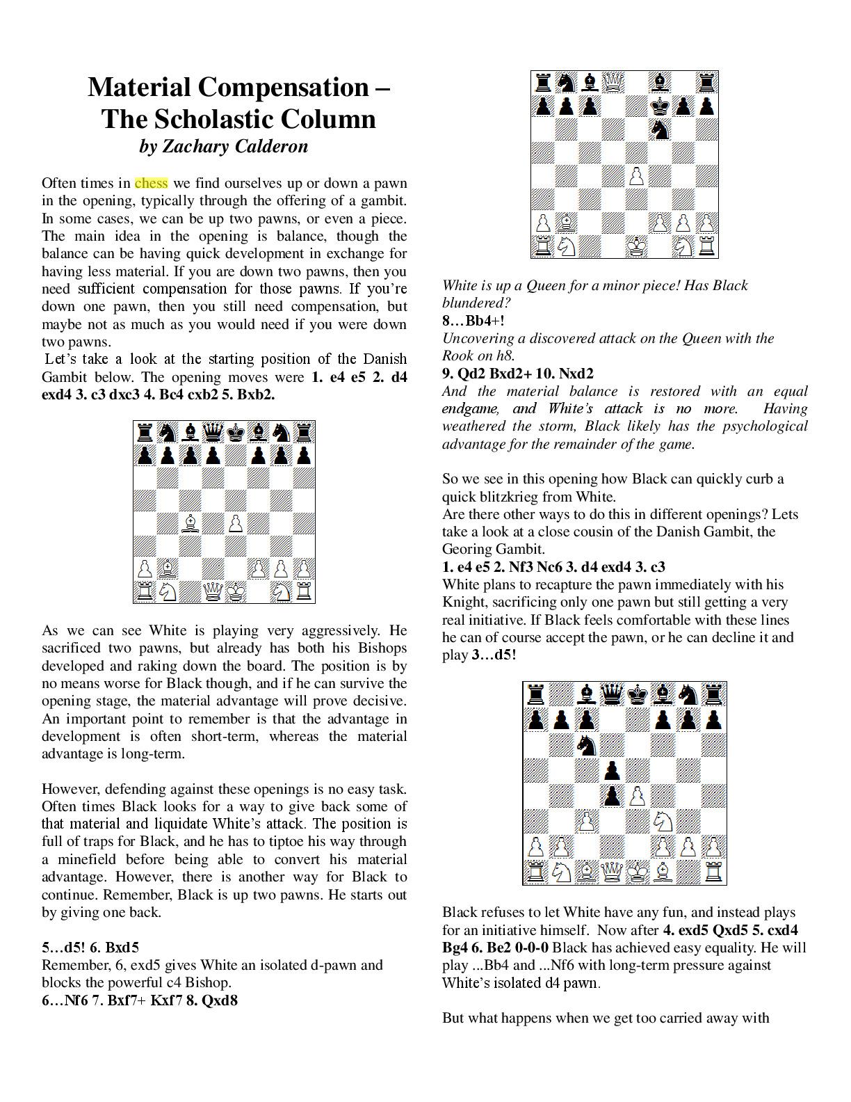
Empire
Chess
New York
February 2013
27 Pages
/* */